Einleitung
Die Zerebralparese (ZP) ist eine permanente Beeinträchtigung der motorischen Entwicklung, die durch nichtprogressive Störungen im fötalen oder kindlichen Gehirn verursacht wird. Zerebralparese ist eine häufige Ursache für körperliche Beeinträchtigungen bei Kindern und tritt bei etwa 2.2 von 1.000 Lebendgeburten auf 1. Sie geht oft mit sekundären muskuloskelettalen Problemen, Epilepsie und/ oder Wahrnehmungs‑, Kognitions- bzw. Kommunikationsstörungen einher 2. Kinder mit ZP leiden unter beeinträchtigten Körperfunktionen, was ihre Mobilität reduziert. Ergebnisse früherer Studien zeigen, dass die Mobilität einen wesentlichen Einfluss auf die Ausführung von Aktivitäten des täglichen Lebens (ADL), die soziale Interaktion, die Entwicklung des Selbstwertgefühls und die Lebensqualität hat 3. Daher ist die Ermöglichung der Mobilität von Kindern mit ZP ein wichtiges Ziel interprofessioneller Interventionen 4.
Ein systematisches Literaturreview von Livingstone und Field aus dem Jahr 2014 fasst die Ergebnisse von 28 Studien zum Elektrorollstuhl-Training (E‑RS-Training) zusammen 5. Die Autoren kamen zu dem Schluss, dass weitere Studien in diesem Bereich erforderlich seien, um die Wirksamkeit des E‑RS-Trainings bei verschiedenen Gruppen, vor allem kleinen Kindern, zu überprüfen 6. Die einzige bisher publizierte randomisierte kontrollierte Studie (“randomized controlled trial”, RCT) von Jones et al. aus dem Jahr 2012 inkludiert Daten von 28 Kindern mit verschiedenen Diagnosen 7. Die mit dem Pediatric Evaluation Disability Inventory (PEDI) gemessenen Ergebnisse zeigen signifikante Unterschiede zwischen der E‑RS-Trainings-Gruppe und der Kontrollgruppe in Bezug auf Mobilität und Unterstützung durch die Betreuungsperson; sie zeigen jedoch keine signifikanten Gruppenunterschiede in den Bereichen Kognition, Kommunikation, Motorik, Selbstversorgung und soziale Kompetenzen 8. Vier weitere Einzelfallstudien zeigen, dass ein E‑RS-Training bei Kindern mit ZP tendenziell wirksam ist, um ihre Kognition, ihre soziale Ausdauer und das Meistern von Fertigkeiten zu entwickeln 9, ihre Mobilität mit dem E‑RS zu erhöhen 10 und ihnen eine Teilnahme am freien und explorativen Spiel zu ermöglichen 11.
Zusammengefasst zeigt die bestehende Forschung zum E‑RS-Training, dass dieses tendenziell wirksam ist, es jedoch weiterer Studien dazu bedarf, insbesondere mit kleinen Kindern. Das Ziel der hier vorgestellten Studie bestand darin zu untersuchen, ob und wie sich das E‑RS-Training auf die Fahrstrecke von kleinen Kindern mit ZP (unter fünf Jahren), ihr Lernniveau bei der Nutzung eines E‑RS, die Qualität der Ausführung von ADL-Aufgaben und die Qualität der sozialen Interaktion auswirkt.
Methoden
Design
In dieser Studie wurde ein Zeitreihendesign (A‑A-B-A‑B) unter kontrollierten Bedingungen angewendet, um die Auswirkungen eines E‑RS-Trainings bei Kleinkindern mit ZP zu untersuchen und zu bewerten 12.
Teilnehmer
Für die Studie kamen Teilnehmerinnen und Teilnehmer in Frage, die die folgenden Einschlusskriterien erfüllten:
- Alter 2.00 bis 4.11 Jahre;
- Diagnose einer ZP gemäß den ICD-10-Kriterien mit GMFCS-Stufe II bis IV (GMFCS = Gross Motor Function Classification System) und mit MACS (Manual Ability Classification System) Stufe II bis IV;
- in der Lage, mit körperlicher Unterstützung zu sitzen und den Kopf zu kontrollieren;
- gute gesundheitliche Verfassung.
Neuropädiater informierten und rekrutierten potenzielle Teilnehmer und ihre Eltern, reichten eine schriftliche Einladung mit einer Beschreibung der Studie weiter und führten nach einer Woche eine Nachuntersuchung durch. Die Eltern, die die Einladung annahmen, gaben ihre informierte Zustimmung.
Setting und Standort
Die Studie fand in der Schweiz in der Rehabilitationsabteilung eines Kinderspitals statt, das stationäre und ambulante Leistungen für Kinder mit verschiedenen Behinderungen, darunter auch Kinder mit ZP, anbietet. Zwei Ergotherapeuten führten das E‑RS-Training durch. Die Therapeuten waren zum Zeitpunkt des Studienbeginns 33 und 41 Jahre alt (M = 37.0, SD = 5.7), mit 4 und 17 (M = 10.5, SD = 9.2) Jahren Erfahrung in der Praxis. Zusätzlich führte eine dritte Ergotherapeutin zu sechs verschiedenen Zeitpunkten (t1–t6) Evaluierungen durch. Zum Zeitpunkt der Studie verfügte sie über 17 Jahre Erfahrung als Ergotherapeutin und Forscherin sowie über Kenntnisse über die Verwendung standardisierter Assessments. Sie war nicht Teil des Behandlungsteams, um Studienverzerrungen zu reduzieren.
Elektrorollstuhl-Training
Die Studienteilnehmer erhielten über einen Zeitraum von drei Monaten wöchentlich ein E‑RS-Training, das jeweils 45 bis 60 Minuten dauerte. Das E‑RS-Training basierte auf der Arbeit von Nilsson und Durkin aus dem Jahr 2014, die einen therapeutischen Ansatz entwickelt haben, der Therapeuten mit allgemeinen und spezifischen Förderungsstrategien bei der Durchführung eines E‑RS-Trainings unterstützt 13. Als Basis für die hier vorgestellte Studie nahmen die Therapeuten, die die Intervention “Driving to learn” durchführten, im Juni/Juli 2015 an einem zweitägigen Trainingsworkshop mit L. Nilsson teil 14. Das E‑RS-Training wurde mit dem Modell “K300 PS JR R‑NET” (Permobil) durchgeführt, wobei die Sitzeinheit und das Elektroniksystem speziell an die Bedürfnisse der Kinder angepasst wurden.
Vorgehensweise
Für die hier vorgestellte Studie wurde ein Zeitreihendesign (A‑A-B-A-B-Design) mit wiederholten Messungen verwendet. Das heißt, die Teilnehmer waren ihre eigenen Kontrollen 15. Nach einer Baseline-Untersuchung (t1) begannen die Teilnehmer mit der Kontrollphase A und erhielten nur Standard-Co-Interventionen (d. h. Sprach- oder Physiotherapie). Dann führten sie eine weitere Kontrollphase A mit einer Evaluierung dazwischen durch (t2). Danach wurde eine weitere Evaluierung durchgeführt (t3), gefolgt von der ersten Interventionsphase B mit einem E‑RS-Training. Auf Phase B folgten eine weitere Phase A und Phase B, die jeweils 3 Monate dauerten und mit einer Evaluierung (t4–t6) endeten (Abb. 1). Die Teilnehmer erhielten in allen fünf Phasen die gleiche Art von Co-Interventionen in gleicher Anzahl, die konsistent dokumentiert wurden. Es war aus ethischen Gründen nicht praktikabel, alle Co-Interventionen zu stoppen.
Assessments
Die Steigerung der Mobilität war das primäre Ergebnis, bewertet anhand der in Metern pro Sitzung gemessenen Fahrstrecke. Dies wurde bereits in anderen Studien zum E‑RS-Training verwendet 16. Darüber hinaus wurden sekundäre Outcomes verwendet, um das Lernniveau der Nutzung des E‑RS, die Qualität der Ausführung von ADL-Aufgaben, die Unterstützung und Anpassung bei der Ausführung von ADL-Aufgaben und die Qualität der sozialen Interaktion zu bewerten. Für Einzelfallstudien wird im Allgemeinen vorgeschlagen, eine breite Anzahl von Assessments zu verwenden, um möglichst vielfältige Ergebnisse zu erhalten 17. Im Einzelnen handelte es sich um folgende Assessments:
- Das Assessment of Learning Powered Mobility Use (ALP) 18 wurde genutzt, um die Veränderungen im Lernniveau zwischen acht Phasen (z. B. vom Anfänger zum Experten) und drei Stadien im Prozess des lernbasierten E‑RS-Trainings im Laufe der Zeit zu bewerten. Es handelt sich um ein neu entwickeltes Assessment, das für die Messung von E‑RS-Trainings empfohlen wird 19, zu dem es jedoch noch wenig Evidenz zu Validität und Reliabilität gibt.
- Des Weiteren kam das Assessment of Motor and Process Skills (AMPS) zum Einsatz, um die beobachtete Ausführungsqualität von ADL-Aufgaben zu bewerten. Das AMPS ist ein international standardisiertes Assessment mit umfangreicher Evidenz bezüglich Reliabilität und Validität 20, einschließlich dessen Anwendung bei Kindern mit ZP 21 und bei Kindern in Mitteleuropa 22.
- Außerdem wurde das Assessment PEDI 23 eingesetzt, um die Leistungsfähigkeit und Leistung von Kindern mit ZP bei der Ausführung von ADL anhand von Elterninterviews zu eruieren. Das PEDI ist ein international standardisiertes Assessment, dessen Reliabilität und Validität bei Kindern mit ZP 24 und bei Kindern in Mitteleuropa 25 nachgewiesen wurde.
- Darüber hinaus wurde das Assessment Evaluation of Social Interaction (ESI) 26 zur Bewertung der Qualität der sozialen Interaktion der Kinder mit ZP eingesetzt. Das ESI ist ein international standardisiertes und validiertes Assessment zur Erfassung verbaler und nonverbaler Verhaltensweisen 27.
Datenanalyse
Die Daten wurden auf individueller Ebene analysiert. Dabei wurde der Fortschritt jedes Teilnehmers basierend auf den Mittelwerten in fünf Phasen grafisch dargestellt 28. Wo immer möglich, wurde der Effekt der Intervention anhand von Effektgrößen (d. h. klinisch relevanter Effekte) beschrieben. Der ± 2SE des Mittelwertes wurde als Kriterium zur Bestimmung klinisch relevanter Effekte zwischen den Phasen A und B herangezogen. Dabei wurden folgende Kriterien für das Vorhandensein klinisch relevanter Effekte festgelegt:
- 66 Meter im Bereich der Mobilität,
- 0.9 Punkte in der ALP-Phase,
- 0.5 Logits für die motorischen und 0.4 Logits für die prozessbezogenen Maße des AMPS,
- 0.36 Logits für die ESI-Maße,
- ein Wert von 5.03 für die PEDI-Selbstversorgungs-t-Werte,
- 14.48 für die Mobilitäts-t-Werte,
- 5.79 für die t‑Werte der sozialen Kompetenzen,
- 3.52 für die skalierten Werte der Selbstversorgung,
- 5.26 für die skalierten Werte der Mobilität sowie
- 4.14 für die skalierten Werte der sozialen Kompetenzen.
Die Entscheidung für die Verwendung der mittleren SE basierte auf der Annahme, dass sie stabiler waren als die SDs der geschätzten Kontraste. Diese Methode wurde bereits in früheren Studien verwendet 29 30 31.
Ergebnisse
Zwei Kinder mit ZP erfüllten alle Kontroll- (A) und Interventionsphasen (B) in der A‑A-B-A-B-Studie. Zu Beginn der Studie wurden sieben Kinder mit ZP im Alter von 2.30 bis 4.80 Jahren (M = 3,67, SD = 1,81) eingeschlossen. Dabei handelte es sich um zwei Jungen und fünf Mädchen mit GMFCS-Level zwischen II und V (M = 3,00; SD = 1,41) und MACS-Level zwischen II und IV (M = 3,00; SD = 1,00). Während der zweiten A‑Phase zogen sich fünf Teilnehmer aus der Studie zurück (Abb. 1), weil ihre Eltern die Teilnahme an einer weiteren Kontrollphase ablehnten. Die verbleibenden Teilnehmer an der Studie waren zwei Mädchen im Alter von 2,3 und 4,0 Jahren. Die demografischen Daten der beiden Teilnehmer sind in Tabelle 1 dargestellt.
Nachfolgend werden die Teilnehmerinnen “Nadja” und “Jana” (dabei handelt es sich um Pseudonyme) kurz vorgestellt und ihre Fortschritte im Laufe der Zeit beschrieben.
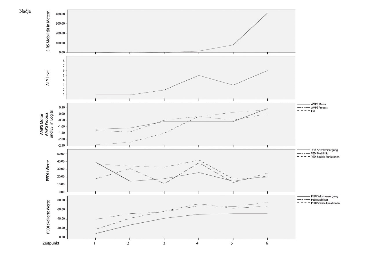
Nadja
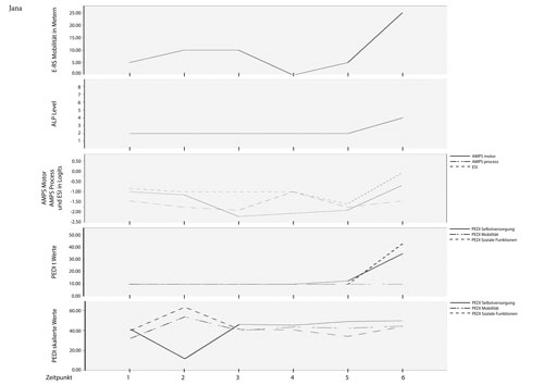
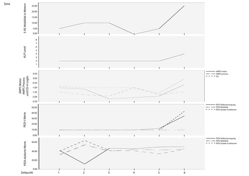
Nadja ist ein Mädchen mit einer spastischen einseitigen ZP, das zu Beginn der Studie 2,3 Jahre alt war. Sie lebt bei ihren Eltern und ihrer Schwester und steht in engem Kontakt mit ihren Großeltern. Obwohl sie gehen kann, genießt sie es, mit dem E‑RS zu fahren. Ihre Eltern beschreiben, wie dies ihr Selbstvertrauen und ihren Sinn für die Bewältigung der ADL-Aufgaben stärkt. Von der Erstuntersuchung bis t6 machte Nadja einen klinisch relevanten Fortschritt bei der Fahrstrecke in Metern/Sitzung, in den ALP-Phasen, im AMPS, d. h. in der Ausführungsqualität von ADL-Aufgaben, im ESI, d. h. bezüglich ihrer sozialen Interaktionsfertigkeiten, im PEDI-t-Wert Mobilität und Selbstversorgung sowie in den PEDI-skalierten Werten Selbstversorgung, Mobilität und soziale Funktionen. Keine Fortschritte erzielte sie dagegen beim t‑Wert der sozialen Funktion des PEDI (Abb. 2 u. Tab. 2).
Jana
Jana ist ein Mädchen mit einer ataktischen ZP, das zu Beginn der Studie 4,0 Jahre alt war. Sie lebt mit ihren Eltern und zwei Geschwistern und begann während der Studie mit dem Kindergarten. Jana hat einen manuellen Rollstuhl und hat begonnen, mit einer Gehhilfe zu gehen. Zu Hause benutzt sie keine Gehhilfen, da sie es vorzieht, von einem Ort zum anderen zu kriechen. Sie benutzt den E‑RS gerne für eine kurze Zeit, verliert jedoch schnell das Interesse. Von der Erstuntersuchung bis t6 machte Jana klinisch relevante Fortschritte in den ALP-Phasen, im AMPS, d. h. in der Ausführungsqualität von ADL-Aufgaben, im ESI, d. h. bezüglich ihrer sozialen Interaktionsfertigkeiten, in den PEDI-t-Werten Selbstversorgung und soziale Funktionen und im PEDI-skalierten Wert soziale Funktionen. Keine klinisch relevanten Fortschritte erzielte Jana dagegen bei der Fahrstrecke in Metern/Sitzung, im PEDI-t-Wert Mobilität und bei den skalierten Werten Selbstversorgung und Mobilität (Abb. 3 u. Tab. 2).
Diskussion
Die Ergebnisse der Studie stützen die Annahme der Autorinnen, dass das E‑RS-Training Auswirkungen auf folgende Aspekte hat:
- auf die Fahrstrecken, welche die kleinen Kinder mit ZP zurücklegen,
- auf ihr Lernniveau bei der Nutzung des E‑RS,
- auf die Qualität ihrer sozialen Inter aktion und
- auf die Qualität der Ausführung von ADL.
Der primäre Outcome dieser Studie betraf die Mobilität. Die Ergebnisse weisen auf eine Beziehung zwischen den Messungen der Fahrstrecke und der ALP-Phase hin: Ein Vergleich der jeweiligen Fortschritte der beiden Mädchen zeigt, dass eine Zunahme der Fahrstrecke mit dem Erreichen der ALP-Phase 4 oder höher einhergeht. In ALP-Phase 4 beginnt das Kind, bewusst und absichtlich den E‑RS für kurze Aktivitäten zu nutzen 32. Diese Ergebnisse stimmen mit den Ergebnissen früherer Studien überein, die gezeigt haben, dass ein E‑RS-Training die Fahrstrecke der Kinder, ihre allgemeine Fähigkeit, einen E‑RS zu benutzen, und ihre Fähigkeit, einen Joystick zu benutzen, erhöht 33 34 35. Darüber hinaus stellten Kenyon und Kollegen fest 36, dass ein E‑RS-Training Kinder mit schweren Behinderungen in ihrem Selbstvertrauen stärkt. Diese Annahme wird durch Berichte von Nadjas Eltern unterstützt, die fanden, dass das E‑RS-Training Nadjas Selbstwertgefühl verbessert habe. Interessanterweise scheint das E‑RS-Training auch Einfluss auf die Qualität der sozialen Interaktion der kleinen Kinder zu haben, wie die Werte aus PEDI und ESI zeigen. In ähnlicher Weise zeigten zwei frühere Studien, dass die soziale Kompetenz und Kommunikation von Kindern mit schwerer Behinderung durch ein E‑RS-Training gesteigert werden kann 37 38.
Die Autorinnen untersuchten auch, ob mit dem E‑RS-Training die Fähigkeit der Kinder, ADL-Aufgaben auszuführen, positiv beeinflusst werden konnte. Obwohl das Muster der Ergebnisse in AMPS und PEDI unterschiedlich war, zeigten diese beiden Kinder Fortschritte in der beobachtbaren Ausführungsqualität von ADL.
Limitationen und Stärken der Studie
Eine wichtige Einschränkung von Studien mit A‑B-A-B-Design ist ihre lange Dauer, die einen hohen Aufwand und ein beträchtliches Budget erfordert 39. Eine weitere Einschränkung war der Ausfall von Teilnehmern aufgrund der Ablehnung der Eltern, die Intervention durch eine dritte Kontrollphase zu unterbrechen. Daher ist die externe Validität der Studie gering, und die Ergebnisse sind nicht verallgemeinerbar. Die Teilnehmer waren ihre eigenen Kontrollen über mehrere Phasen, aber die Tatsache, dass sie zwei Kontrollphasen absolvierten, bevor die erste Interventionsphase begann, ist eine Stärke der Studie, da sie wichtige Informationen über die Entwicklung der Kinder vor der Durchführung des E‑RS-Trainings lieferte.
Eine weitere Stärke der Studie besteht nach Auffassung der Autorinnen darin, dass sie die Realität der klinischen Praxis und des Prozesses über einen langen Zeitraum hinweg widerspiegelt. Sie hat demnach eine hohe interne Validität. Für die Studie wurden verschiedene Assessments verwendet, die sich nicht nur auf die Mobilität konzentrierten, sondern auch auf die Qualität der Ausführung von ADL-Aufgaben und der sozialen Interaktion. Die Ergebnisse bilden somit eine wichtige Grundlage für die Auswahl von Assessments für nachfolgende Studien.
Darüber hinaus wurde der Mittelwert von ± 2SE als Kriterium zur Bestimmung klinisch relevanter Interventionseffekte verwendet, da sie stabiler waren als die SDs der geschätzten Kontraste der zwei Teilnehmer. Andere Studien zum E‑RS-Training verwendeten nur ± 1SE, was ein weniger strenges Kriterium ist.
Fazit
Ein E‑RS-Training hat nicht nur Auswirkungen auf die Mobilität von kleinen Kindern mit ZP, sondern auch auf ihr Lernniveau sowie die Qualität ihrer Ausführung von ADL-Aufgaben und ihrer sozialen Interaktion. Für Praxis und Forschung empfehlen die Autorinnen somit Folgendes: Zur Evaluierung der Ergebnisse des E‑RS-Trainings sollten in der Praxis (also im Einzelfall) und in der Forschung verschiedene standardisierte Assessments eingesetzt werden, die über die Erfassung der Mobilität hinausgehen. In diesem Zusammenhang werden besonders die folgenden Assessments empfohlen:
- das Assessment of Learning Powered Mobility Use (ALP) zur Dokumentation des Lernniveaus, wenn der E‑RS verwendet wird, und als therapeutischer Ansatz;
- das Assessment of Motor and Process Skills (AMPS) zur Erfassung der Qualität der Ausführung von ADL;
- das Evaluation of Social Interaction (ESI) zur Erfassung der Qualität der sozialen Interaktion. AMPS und ESI haben sich als sensitiver für Veränderungen im Verlauf des E‑RS-Trainings erwiesen als PEDI.
Des Weiteren ist festzustellen, dass ein großer Bedarf an weiterer Forschung zum E‑RS-Training mit einer größeren Gruppe an Teilnehmern besteht, damit die Ergebnisse generalisiert werden können. In diesem Zusammenhang schlagen die Autorinnen die Entwicklung eines internationalen Registers zur Verwendung von E‑RS und zur Anwendung des E‑RS-Trainings vor.
Danksagung
Die Autorinnen danken besonders allen Kindern und ihren Eltern, die an dieser Studie teilgenommen haben. Ferner danken sie Daniel Bragagna, Christoph Künzle, Oliver Maier, André Meichtry, Christina Schulze, Ursula Meidert und Heidrun Becker für ihre kollegiale Unterstützung.
Die Studie wurde von folgenden Stiftungen finanziert: Ebnet-Stiftung, Stiftung für Ergotherapie, Stiftung Cerebral und Stiftung für Abendländische Ethik und Kultur.
Die Studie wurde von der Ostschweizer Ethikkommission (KSG15/087) genehmigt und im nationalen Portal (SNCTP000001567) sowie im internationalen Register für klinische Studien (ISRCTN34030148) registriert.
Für die Autorinnen:
Prof. Dr. phil. Brigitte E. Gantschnig
Zürcher Hochschule für Angewandte Wissenschaften (ZHAW)
Departement Gesundheit
Institut für Ergotherapie
Katharina-Sulzer-Platz 9
CH-8401 Winterthur
Schweiz
brigitte.gantschnig@zhaw.ch
Begutachteter Beitrag/reviewed paper
Gantschnig BE, Rönnfeld S, Nilsson L. Elektrorollstuhl-Training bei kleinen Kindern mit Zerebralparese. Orthopädie Technik, 2020; 71 (7): 42–49
| Teilnehmerin | Nadja* | Jana* |
|---|---|---|
| Geschlecht | weiblich | weiblich |
| Alter | 2.3 | 4.0 |
| Klassifikation der Zerebralparese | spastisch, unilateral | ataktisch |
| Komorbidität | Epilepsie | Epilepsie |
| GMFCS-Level | 2 | 4 |
| MACS-Level | 4 | 4 |
| Anzahl Hilfsmittel (z. B. Unterschenkelorthese) | 0 | 1 |
| Geschwister | 1 | 2 |
| Ko-Interventionen (z. B. Ergo‑, Physiotherapie, Logopädie) | 1 | 2 |
| Bildungsstand ** der Mutter | ||
| – Bachelor oder äquivalent | 1 | 1 |
| – postsekundäre, nicht-tertiäre Ausbildung | 1 | 1 |
* Namen geändert; ** Bildungsstand basierend auf der Internationalen Standardklassifikation von Bildung (ISCED 2011). Legende: GMFCS = Gross Motor Function Classification System; MACS = Manual Ability Classification System.
| Evaluationszeitpunkt | ||||||||
|---|---|---|---|---|---|---|---|---|
| t1 | t2 | t3 | t4 | t5 | t6 | Durchschnittliche Veränderung in Phasen A (Kontrollphase) | Durchschnittliche Veränderung in Phasen B (Interventionsphasen) | |
| Nadja | ||||||||
| Mobilität in Metern | 0.0 | 5 | 0 | 16.0 | 80.0 | 410.0 | 64.0 | *346.0 |
| ALP-Phase | 1 | 1 | 2 | 5 | 4 | 6 | 0 | *5.0 |
| AMPS, Mittelwert ADL Motor in Logits | -1.2 | -1.1 | -0.6 | -0.6 | -0.6 | 0.4 | *0.6 | *1.0 |
| AMPS, Mittelwert ADL Prozess in Logits | -1.4 | -1.3 | -0.5 | -0.2 | -0.5 | 0.0 | *0.6 | *0.8 |
| ESI, Mittelwert soziale Interaktion in Logits | -2.4 | -2.2 | -1.5 | -0.2 | 0.1 | 0.3 | *1.2 | *1.5 |
| PEDI, t‑Wert Selbstversorgung | 38.8 | 14.7 | 18 | 25.9 | 14.8 | 21.4 | -31.9 | *14.5 |
| PEDI, t‑Wert Mobilität | 17.9 | 30.9 | 11.6 | 38.4 | 13.1 | 25.1 | -31.6 | *38.8 |
| PEDI, t‑Wert soziale Kompetenzen | 36.8 | 34.2 | 32.7 | 41.9 | 17.6 | 20.1 | -28.4 | 11.7 |
| PEDI, skalierter Wert Selbstversorgung | 47.5 | 37.8 | 39.6 | 61.2 | 54.9 | 58.6 | -14.2 | *25.3 |
| PEDI, skalierter Wert Mobilität | 50.5 | 62.9 | 57.3 | 82.5 | 65.5 | 73.3 | -10.2 | *33.0 |
| PEDI, skalierter Wert sozialeJana Kompetenze | 47.9 | 49.1 | 53.7 | 64.1 | 53.2 | 54.3 | -5.1 | *11.5 |
| Jana | ||||||||
| Mobilität in Metern | 5.0 | 10 | 10 | 0.0 | 5.0 | 25.0 | 10.0 | 10.0 |
| ALP-Phase | 2 | 2 | 2 | 2 | 2 | 4 | 0 | *2.0 |
| AMPS, Mittelwert ADL Motor in Logits | -0.5 | -0.6 | -1.3 | -1.2 | -1.1 | -0.3 | -0.7 | *0.9 |
| AMPS, Mittelwert ADL Prozess in Logits | -0.8 | -1.0 | -1.1 | -0.5 | -1.0 | -0.8 | -0.8 | *0.8 |
| ESI, Mittelwert soziale Interaktion in Logits | -0.4 | -0.5 | -0.5 | -0.5 | -0.9 | 1.0 | -0.5 | *1.9 |
| PEDI, t‑Wert Selbstversorgung | 10.0 | 10.0 | 10.0 | 10.0 | 12.7 | 34.8 | 2.7 | *22.1 |
| PEDI, t‑Wert Mobilität | 10.0 | 10.0 | 10.0 | 10.0 | 10.0 | 10.0 | 0.0 | 0.0 |
| PEDI, t‑Wert soziale Kompetenzen | 10.1 | 10.0 | 10.0 | 10.0 | 10.0 | 42.9 | -0.1 | *32.9 |
| PEDI, skalierter Wert Selbstversorgung | 41.2 | 46.0 | 45.2 | 45.2 | 48.9 | 49.6 | *7.7 | 0.7 |
| PEDI, skalierter Wert Mobilität | 32.0 | 53.6 | 39.9 | 43.3 | 42.2 | 44.3 | 6.8 | 5.5 |
| PEDI, skalierter Wert soziale Kompetenzen | 39.9 | 63.3 | 41.1 | 40.4 | 34.0 | 43.8 | -5.2 | *9.1 |
* Die durchschnittlichen Werte sind nach der Interventionsphase ± 2SE höher als vor der Interventionsphase. Legende: ALP = Assessment of Learning Powered Mobility Use; AMPS = Assessment of Motor and Process Skills; ESI = Evaluation of Social Interaction; PEDI = Pediatric Evaluation of Disability Inventory.
- Entwicklung eines zum physiologischen Gangbild kongruenten polyzentrischen Knieorthesengelenks – Zwischenstand eines Forschungsprojektes — 10. April 2026
- Mikroprozessorgesteuerte stand- und schwungphasenkontrollierte Ganzbeinorthesen (SSCO): Entwicklung, Systeme und Versorgungsrealität in der orthopädietechnischen Praxis — 9. April 2026
- Gips oder Orthese bei distalen Radiusfrakturen? — 8. April 2026
- Surveillance of Cerebral Palsy in Europe. Surveillance of Cerebral Palsy in Europe. Dev Med Child Neurol, 2000; 42: 816–824
- Rosenbaum P, Paneth N, Leviton A, Goldstein MG, Bax M. The Definition and Classification of Cerebral Palsy. Dev Med Child Neurol, 2007; 49: 1–44. doi:10.1111/j.1469–8749.2007.00001.x
- Guerette P, Furumasu J, Tefft D. The positive effects of early powered mobility on children’s psychosocial and play skills. Assist Technol, 2013; 25 (1): 39–48; quiz 49–50
- Livingstone R, Paleg G. Practice considerations for the introduction and use of power mobility for children. Dev Med Child Neurol, 2014; 56 (3): 210–221. doi:10.1111/dmcn.12245
- Livingstone R, Field D. Systematic review of power mobility outcomes for infants, children and adolescents with mobility limitations. Clin Rehabil, 2014; 28 (10): 954–964. doi:10.1177/0269215514531262
- Livingstone R, Field D. Systematic review of power mobility outcomes for infants, children and adolescents with mobility limitations. Clin Rehabil, 2014; 28 (10): 954–964. doi:10.1177/0269215514531262
- Jones MA, McEwen IR, Neas BR. Effects of power wheelchairs on the development and function of young children with severe motor impairments. Pediatr Phys Ther Off Publ Sect Pediatr Am Phys Ther Assoc, 2012; 24 (2): 131140; discussion 140. doi:10.1097/PEP.0b013e31824c5fdc
- Jones MA, McEwen IR, Neas BR. Effects of power wheelchairs on the development and function of young children with severe motor impairments. Pediatr Phys Ther Off Publ Sect Pediatr Am Phys Ther Assoc, 2012; 24 (2): 131140; discussion 140. doi:10.1097/PEP.0b013e31824c5fdc
- Kenyon LK, Farris JP, Aldrich NJ, Rhodes S. Does power mobility training impact a child’s mastery motivation and spectrum of EEG activity? An exploratory project. Disabil Rehabil Assist Technol, 2018; 13 (7): 665–673. doi:10.1080/17483107.2017.1369587
- Guerette P, Furumasu J, Tefft D. The positive effects of early powered mobility on children’s psychosocial and play skills. Assist Technol, 2013; 25 (1): 39–48; quiz 49–50
- Sonday A, Gretschel P. Empowered to Play: A Case Study Describing the Impact of Powered Mobility on the Exploratory Play of Disabled Children. Occup Ther Int, 2016; 23 (1): 11–18. doi:10.1002/oti.1395
- Thomas G. How to Do Your Case Study. A Guide for Students and Researchers. London: Sage Publications Ltd, 2016
- Nilsson L, Durkin J. Assessment of learning powered mobility use – Applying grounded theory to occupational performance. J Rehabil Res Dev, 2014; 51 (6): 963–974. doi:10.1682/ jrrd.2013.11.0237
- Nilsson L, Eklund M, Nyberg P, Thulesius H. Driving to learn in a powered wheelchair: the process of learning joystick use in people with profound cognitive disabilities. Am J Occup Ther Off Publ Am Occup Ther Assoc, 2011; 65 (6): 652–660. doi:10.5014/ ajot.2011.001750
- Thomas G. How to Do Your Case Study. A Guide for Students and Researchers. London: Sage Publications Ltd, 2016
- Sonenblum SE, Sprigle S, Harris FH, Maurer CL. Characterization of Power Wheelchair Use in the Home and Community. Arch Phys Med Rehabil, 2008; 89 (3): 486–491. doi:10.1016/ j.apmr.2007.09.029
- Thomas G. How to Do Your Case Study. A Guide for Students and Researchers. London: Sage Publications Ltd, 2016
- Nilsson L, Durkin J. Assessment of learning powered mobility use – Applying grounded theory to occupational performance. J Rehabil Res Dev, 2014; 51 (6): 963–974. doi:10.1682/ jrrd.2013.11.0237
- Sonenblum SE, Sprigle S, Harris FH, Maurer CL. Characterization of Power Wheelchair Use in the Home and Community. Arch Phys Med Rehabil, 2008; 89 (3): 486–491. doi:10.1016/ j.apmr.2007.09.029
- Fisher AG, Merritt BK. Current standardization sample, item and task calibration values, and validity and reliability of the AMPS. In: Fisher AG, Jones KB (eds). Assessment of Motor and Process Skills. Vol. 1: Development, Standardization, and Administration Manual. Vol 1. 7th revised ed. Fort Collins: Three Star Press, 2012
- Van Zelst B, Miller M, Russo R, Murchland S, Crotty M. Activities of daily living in children with hemiplegic cerebral palsy: a cross-sectional evaluation using the Assessment of Motor and Process Skills. Dev Med Child Neurol, 2006; 48 (9): 723–727
- Gantschnig BE, Fisher AG, Page J, Meichtry A, Nilsson I. Differences in activities of daily living (ADL) abilities of children across world regions: a validity study of the assessment of motor and process skills. Child Care Health Dev, 2015; 41 (2): 230–238. doi:10.1111/cch.12170
- Haley SM, Coster WJ, Ludlow LH, Haltiwanger JT, Andrellos PJ. Pediatric Evaluation of Disability Inventory: Development, Standardization, and Administration Manual. Boston: New England Medical Centre and PEDI Research Group, 1992
- Berg M, Aamodt G, Stanghelle J, Krumlinde-Sundholm L, Hussain A. Cross-cultural validation of the Pediatric Evaluation of Disability Inventory (PEDI) norms in a randomized Norwegian population. Scand J Occup Ther, 2008; 15: 143–152
- Schulze C, Page J, Lilja M, Kottorp A. Cross-cultural validity of the German version of the Pediatric Evaluation of Disability Inventory (PEDI‑G) – a Rasch model application. Child Care Health Dev, 2017; 43 (1): 48–58. doi:10.1111/cch.12401
- Fisher AG, Griswold LA. Evaluation of Social Interaction. 3rd ed. Ft. Collins: Three Star Press, 2015
- Griswold LA, Townsend S. Assessing the sensitivity of the evaluation of social interaction: comparing social skills in children with and without disabilities. Am J Occup Ther, 2012; 66 (6): 709–717. doi:10.5014/ajot.2012.004051
- Thomas G. How to Do Your Case Study. A Guide for Students and Researchers. London: Sage Publications Ltd, 2016
- Fisher AG, Merritt BK. Current standardization sample, item and task calibration values, and validity and reliability of the AMPS. In: Fisher AG, Jones KB (eds). Assessment of Motor and Process Skills. Vol. 1: Development, Standardization, and Administration Manual. Vol 1. 7th revised ed. Fort Collins: Three Star Press, 2012
- Fisher AG, Griswold LA. Evaluation of Social Interaction. 3rd ed. Ft. Collins: Three Star Press, 2015
- Griswold LA, Townsend S. Assessing the sensitivity of the evaluation of social interaction: comparing social skills in chil dren with and without disabilities. Am J Occup Ther, 2012; 66 (6): 709–717. doi:10.5014/ajot.2012.004051
- Nilsson L, Durkin J. Assessment of learning powered mobility use – Applying grounded theory to occupational performance. J Rehabil Res Dev, 2014; 51 (6): 963–974. doi:10.1682/ jrrd.2013.11.0237
- Jones MA, McEwen IR, Neas BR. Effects of power wheelchairs on the development and function of young children with severe motor impairments. Pediatr Phys Ther Off Publ Sect Pediatr Am Phys Ther Assoc, 2012; 24 (2): 131140; discussion 140. doi:10.1097/PEP.0b013e31824c5fdc
- Kenyon LK, Farris JP, Aldrich NJ, Rhodes S. Does power mobility training impact a child’s mastery motivation and spectrum of EEG activity? An exploratory project. Disabil Rehabil Assist Technol, 2018; 13 (7): 665–673. doi:10.1080/17483107.2017.1369587
- Kenyon LK, Farris JP, Gallagher C, Hammond L, Webster LM, Aldrich NJ. Power Mobility Training for Young Children with Multiple, Severe Impairments: A Case Series. Phys Occup Ther Pediatr, 2017; 37 (1): 19–34. doi:10.3109/01942638.2015.1108380
- Kenyon LK, Farris JP, Aldrich NJ, Rhodes S. Does power mobility training impact a child’s mastery motivation and spectrum of EEG activity? An exploratory project. Disabil Rehabil Assist Technol, 2018; 13 (7): 665–673. doi:10.1080/17483107.2017.1369587
- Jones MA, McEwen IR, Neas BR. Effects of power wheelchairs on the development and function of young children with severe motor impairments. Pediatr Phys Ther Off Publ Sect Pediatr Am Phys Ther Assoc, 2012; 24 (2): 131140; discussion 140. doi:10.1097/PEP.0b013e31824c5fdc
- Kenyon LK, Farris JP, Gallagher C, Hammond L, Webster LM, Aldrich NJ. Power Mobility Training for Young Children with Multiple, Severe Impairments: A Case Series. Phys Occup Ther Pediatr, 2017; 37 (1): 19–34. doi:10.3109/01942638.2015.1108380
- Thomas G. How to Do Your Case Study. A Guide for Students and Researchers. London: Sage Publications Ltd, 2016





